Ответы
Ответ дал:
0
Ответ:
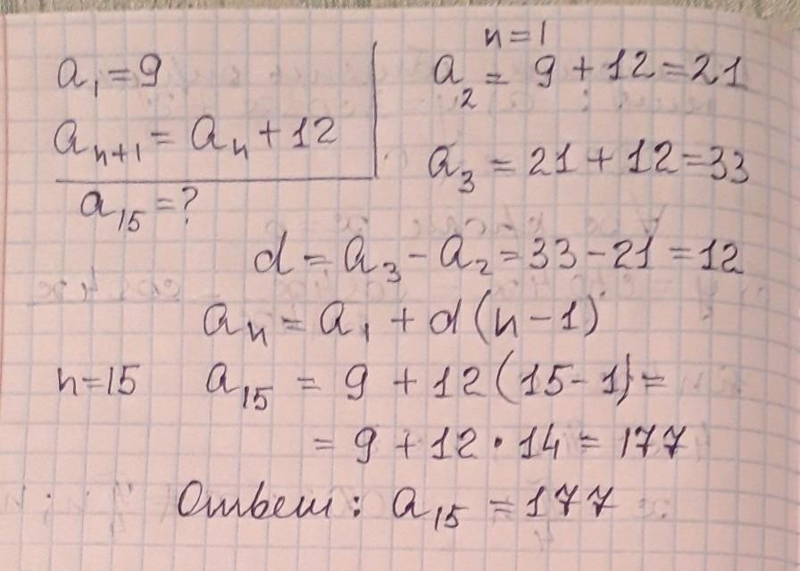
а1=9
а2=9+12=21
а3=21+12=33
а4=33+12=45
а5=45+12=57
а6=57+12=69
а7=69+12=81
а8=81+12=93
а9=93+12=105
а10=105+12=117
а11=117+12=129
а12=129+12=141
а13=141+12=153
а14=153+12=165
а15=165+12=177
Объяснение:
Ответ дал:
0
Ответ:
а(15)=177
Найдите 15 член арифм. прогрессии.
Приложения:

Вас заинтересует
3 года назад
3 года назад
8 лет назад
9 лет назад