Помогите пожалуйста!!!!Как это решить????Можете обьяснить на листочке....
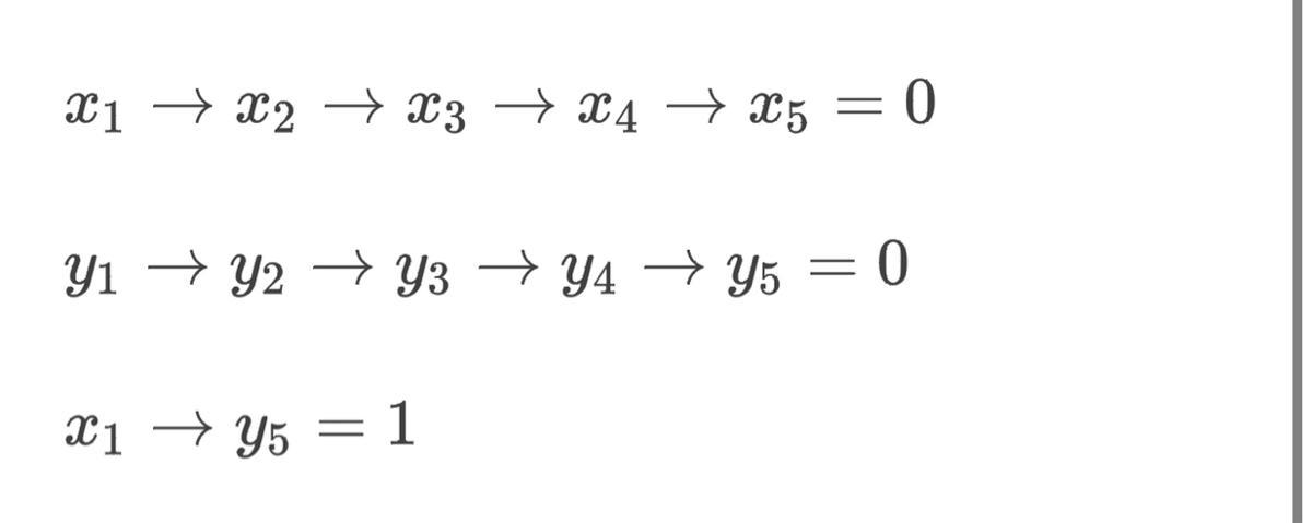
Сколько различных решений имеет система уравнений
Где х1,х2,.....,х5,y1,y2.....,y5 – логические переменные? В ответе не нужно перечислять все различные наборы значений переменных, при которых выполнено данное равенство. В качестве ответа нужно указать количество таких наборов.
Приложения:

Ответа на этот вопрос пока нет. Попробуйте найти его через форму поиска.
Вас заинтересует
2 года назад
2 года назад
3 года назад
3 года назад
8 лет назад
8 лет назад
9 лет назад