• Предмет: Алгебра
  • Автор: vladabessmertnykh
  • Вопрос задан 8 лет назад

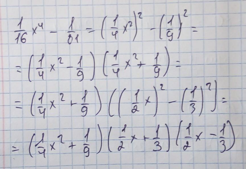
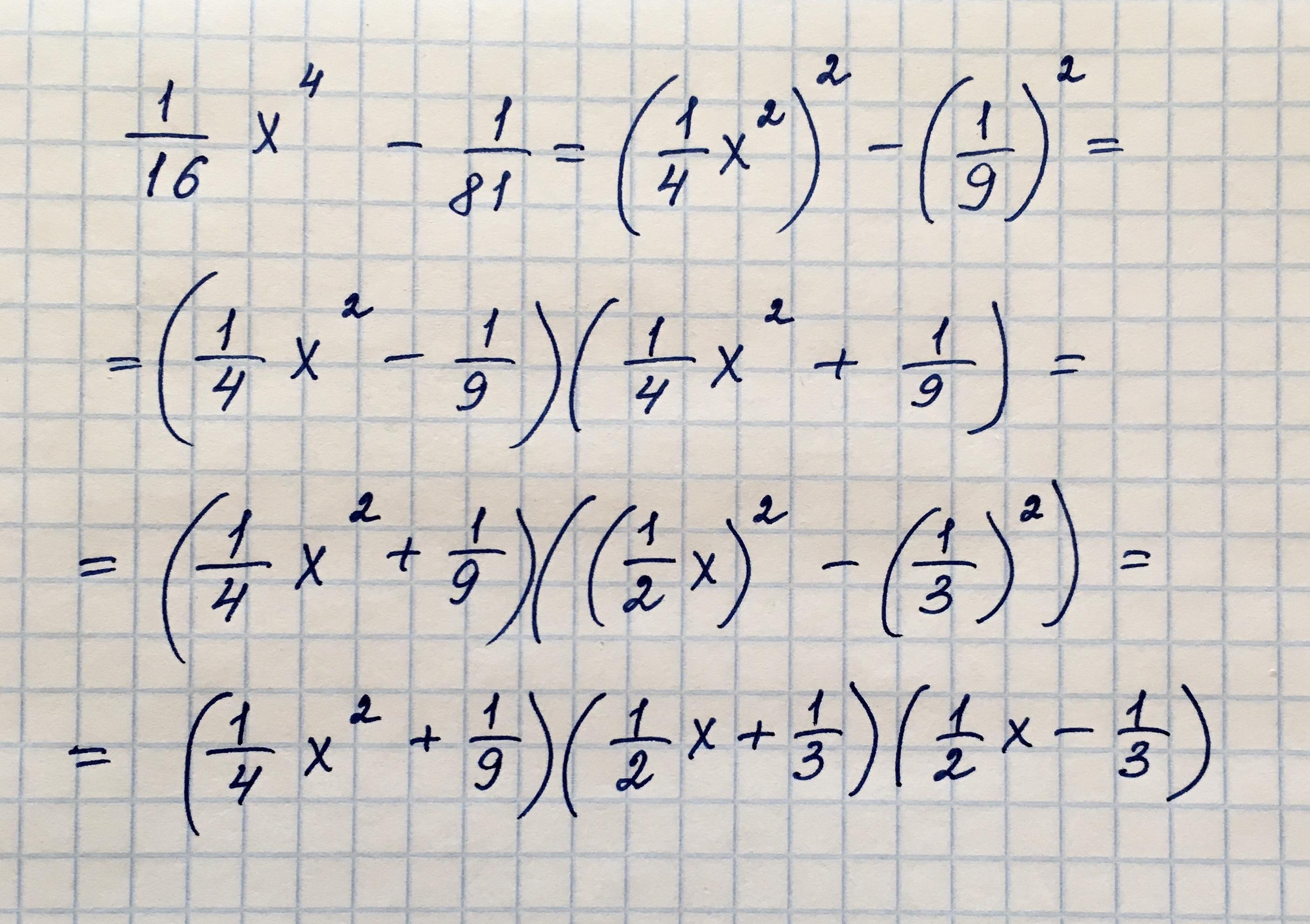
разложите на множетели:1/16x^4-1/81
7 класс

Ответы

Ответ дал: 0725sasha
0

Ответ:

В приложении

Если мой ответ Вам помог

Отметте его ЛУЧШИМ

Приложения:
Ответ дал: LFP
0
разложение на множители нужно продолжить... действие не закончено)
Ответ дал: ВладимирБ
0

Ответ:

Объяснение:

............................

Приложения:
Вас заинтересует