Ответы
Ответ дал:
0
Объяснение:
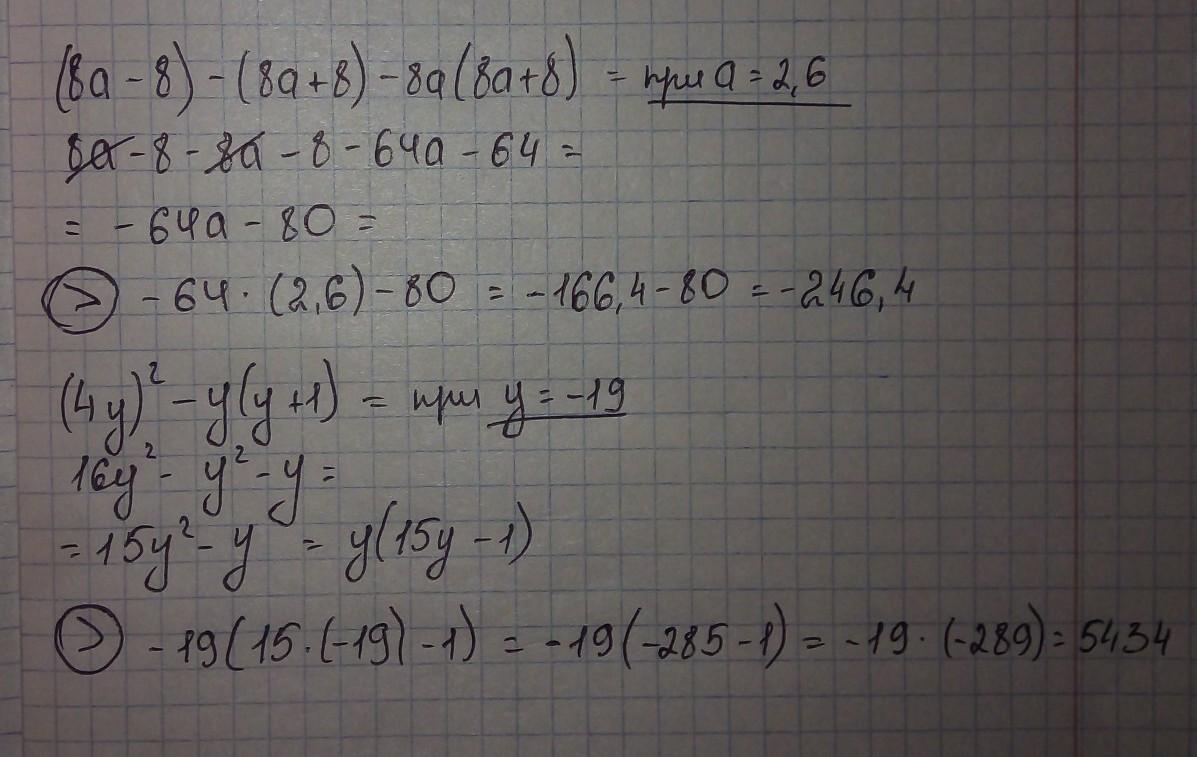
В приложении
Если мой ответ Вам помог
Отметте его ЛУЧШИМ
Приложения:

Ответ дал:
0
спасибо!
Вас заинтересует
2 года назад
3 года назад
3 года назад
8 лет назад
8 лет назад