• Предмет: Алгебра
  • Автор: dianakerolabramovich
  • Вопрос задан 8 лет назад

Еще раз прошу, помогите!

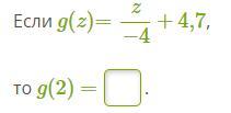
Приложения:

Ответы

Ответ дал: Julieshebeko
0

Ответ:

4.2

Объяснение:

g(2)= 2:(-4) +4.7 =4.2

Вас заинтересует