• Предмет: Химия
  • Автор: sarievgold
  • Вопрос задан 8 лет назад

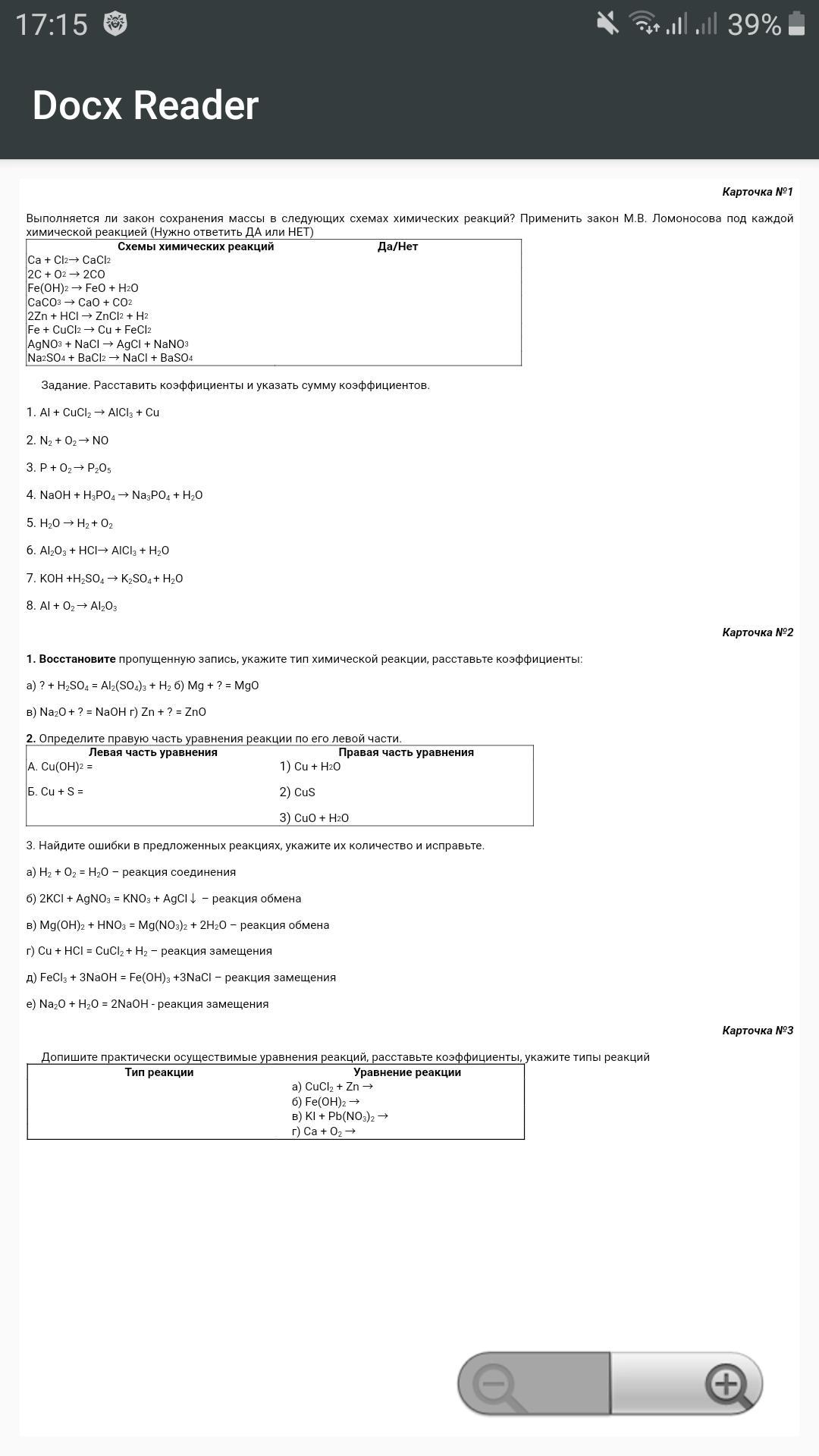
Помогите пожалуйста можететрешить эти задания по химии плиз

Приложения:

Ответа на этот вопрос пока нет. Попробуйте найти его через форму поиска.

Вас заинтересует