• Предмет: Математика
  • Автор: solnushko2017
  • Вопрос задан 8 лет назад

БУДЬ ЛАСКА, ДУЖЕ ТЕРМІНОВО
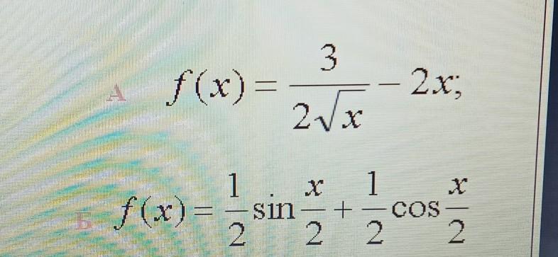
Знайти загальний вигляд первісної для обох функції ​

Приложения:

Ответа на этот вопрос пока нет. Попробуйте найти его через форму поиска.

Вас заинтересует