• Предмет: Математика
  • Автор: Vika202920
  • Вопрос задан 8 лет назад

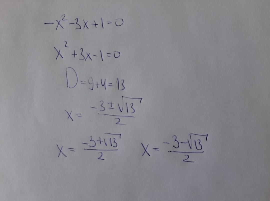
-x²-3x+1=0 help me please

Ответы

Ответ дал: Человек2к18
0

Ответ:

Пошаговое объяснение:

Приложения:
Вас заинтересует