• Предмет: Алгебра
  • Автор: natashakulieva
  • Вопрос задан 8 лет назад

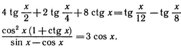
Помогите, пожалуйста, решить тригонометрические уравнения

Приложения:

Ответа на этот вопрос пока нет. Попробуйте найти его через форму поиска.

Вас заинтересует
10 лет назад