Червона межа фотоефекту для вольфраму 2,75*10^-7м. Визначити роботу виходу електрону з вольфраму світлом з довжиною хвилі лямбдта = 1,8*10^-7м
Ответы
Ответ дал:
0
Ответ:
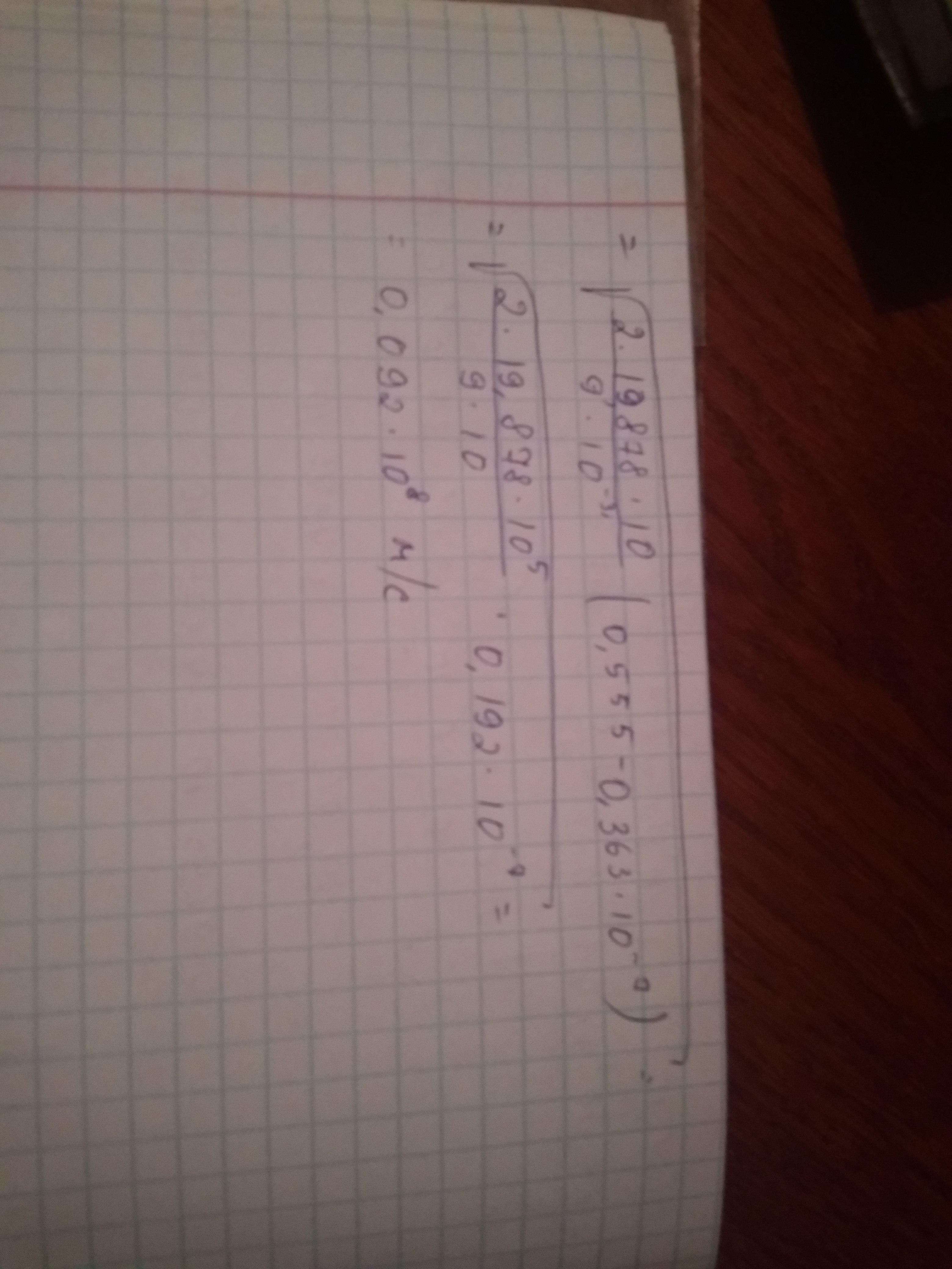
0,092 * 10^8 м/с
Объяснение:
Приложения:
Вас заинтересует
2 года назад
2 года назад
3 года назад
3 года назад
9 лет назад
9 лет назад
10 лет назад