• Предмет: Алгебра
  • Автор: Meowwwwwwwwwwwwwwwww
  • Вопрос задан 8 лет назад

ПОМОГИТЕ ПОЖАЛУЙСТА !!

Приложения:

Ответы

Ответ дал: guvanch021272
0

Ответ:

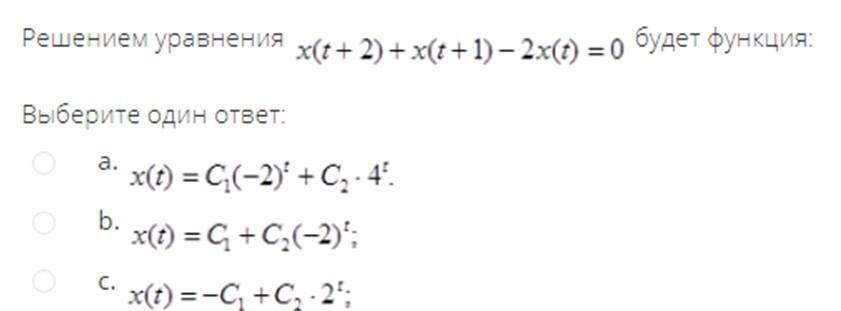
b) x(t)=C₁+C₂·(-2)ⁿ

Объяснение:

Можно решить функциональное уравнение, но если это тест и есть ответы, то банальная проверка даст результат. К тому же, в условии не сказано, что необходимо решить.

x(n+2)+x(n+1)-2x(n)=0

a) x(t)=C₁·(-2)ⁿ+C₂·4ⁿ⇒x(n+2)+x(n+1)-2x(n)=

=C₁·(-2)ⁿ⁺²+C₂·4ⁿ⁺²+C₁·(-2)ⁿ⁺¹+C₂·4ⁿ⁺¹-2(C₁·(-2)ⁿ+C₂·4ⁿ)=

=4C₁·(-2)ⁿ+16C₂·4ⁿ-2C₁·(-2)ⁿ+4C₂·4ⁿ-2C₁·(-2)ⁿ-2C₂·4ⁿ=18C₂·4ⁿ

b) x(t)=C₁+C₂·(-2)ⁿ⇒x(n+2)+x(n+1)-2x(n)=

=C₁+C₂·(-2)ⁿ⁺²+C₁+C₂·(-2)ⁿ⁺¹-2(C₁+C₂·(-2)ⁿ)=

=C₁+4C₂·(-2)ⁿ+C₁-2C₂·(-2)ⁿ-2C₁-2C₂·(-2)ⁿ=0

c) x(t)=C₁+C₂·2ⁿ⇒x(n+2)+x(n+1)-2x(n)=

=C₁+C₂·2ⁿ⁺²+C₁+C₂·2ⁿ⁺¹-2(C₁+C₂·2ⁿ)=

=C₁+4C₂·2ⁿ+C₁+2C₂·2ⁿ-2C₁-2C₂·2ⁿ=4C₂·2ⁿ

Вас заинтересует