• Предмет: Физика
  • Автор: YALO001
  • Вопрос задан 8 лет назад

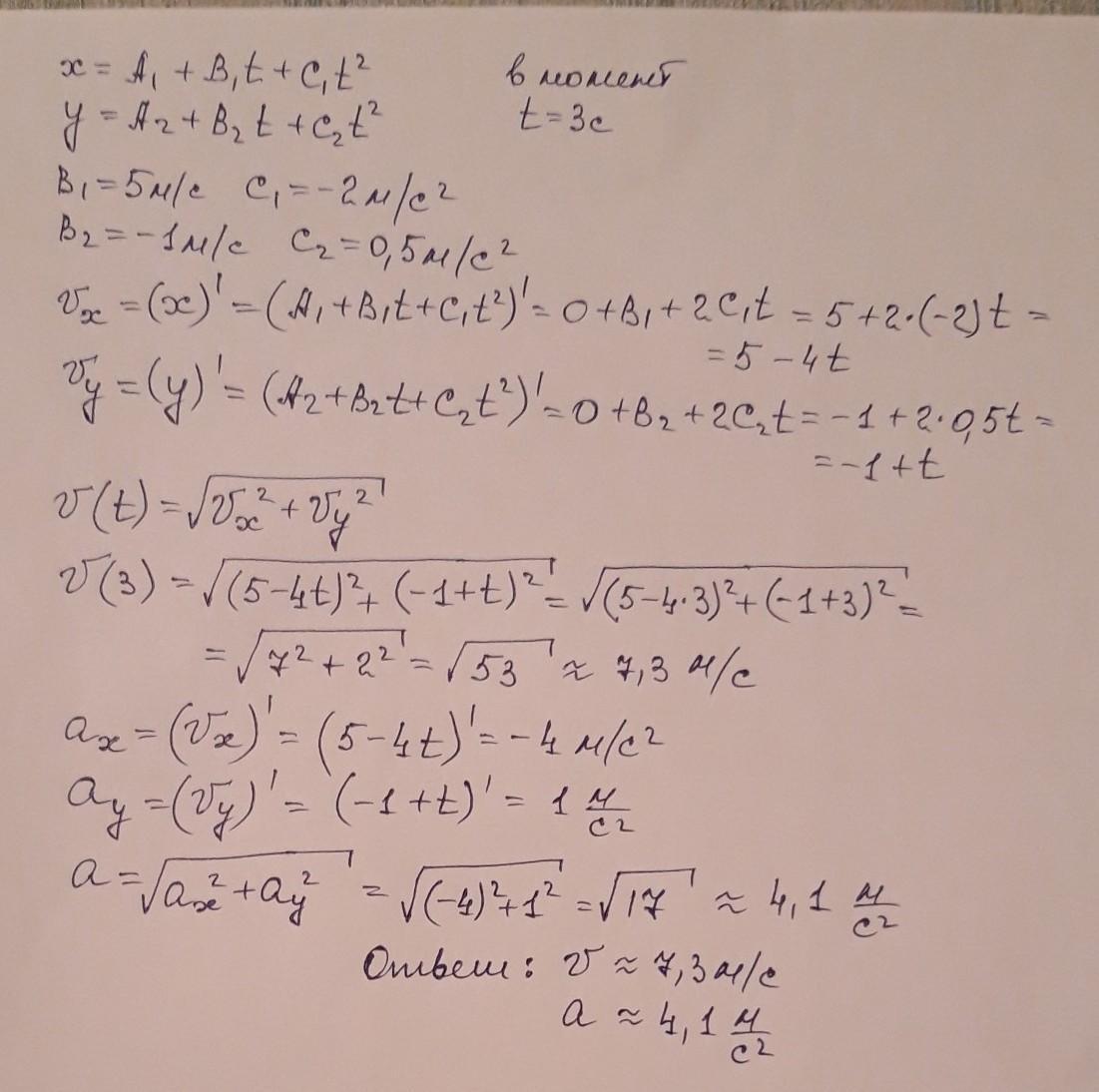
Физика,задание во вложении

Приложения:

Ответы

Ответ дал: sharofat0
0

Ответ:

Найти модуль скорости и ускорения точки.

Приложения:
Вас заинтересует