• Предмет: Математика
  • Автор: bokalo1971
  • Вопрос задан 8 лет назад

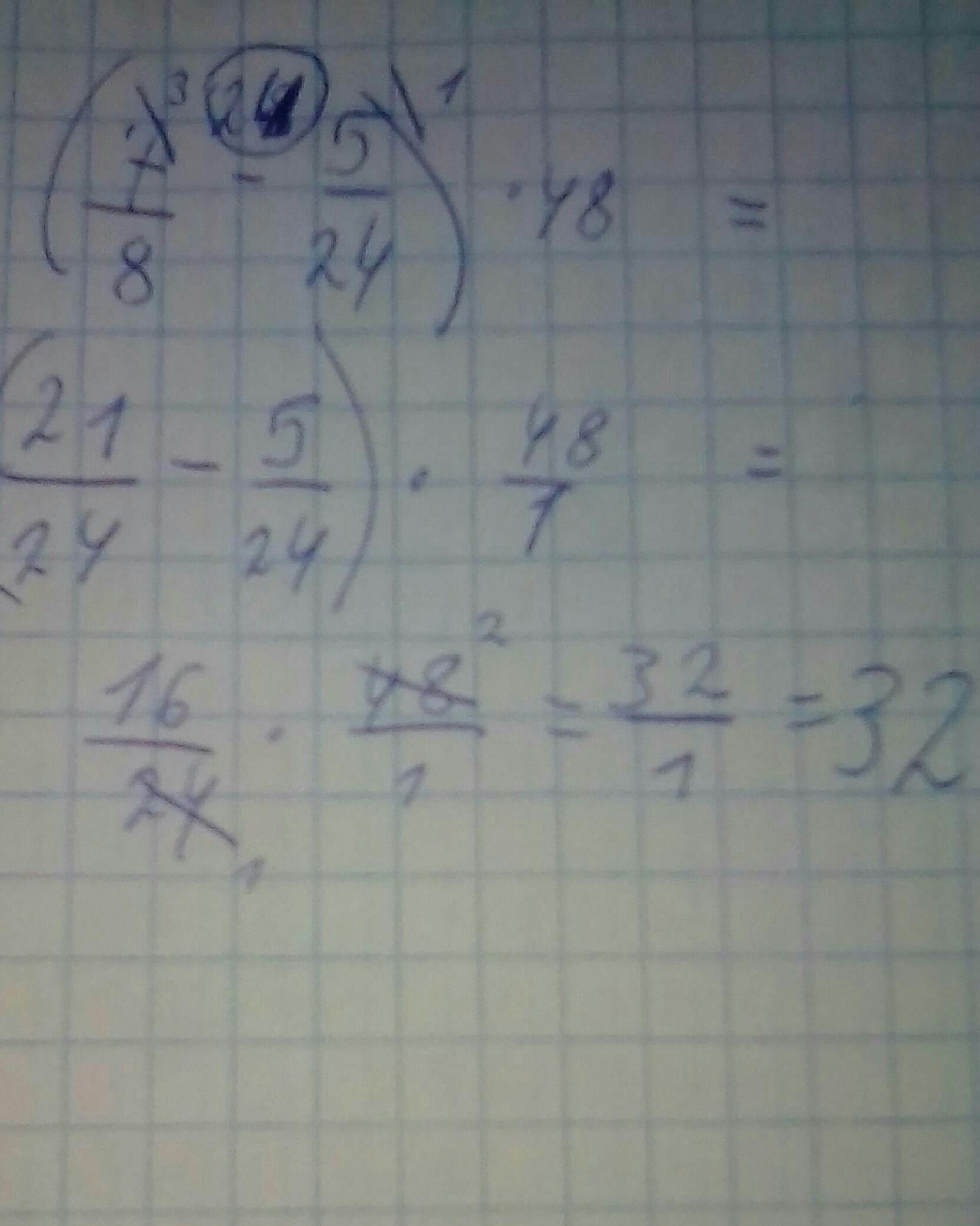
(7/8-5/24)*48= Помогите решить дроби

Ответы

Ответ дал: Maria2007Fedorova
0

Ответ:

(7/8-5/24)х48= (21/24-5/24)х48= 16/24х48=32

Пошаговое объяснение:

Ответ дал: Мозгокошка
0

Ответ:32

..............

Приложения:
Вас заинтересует