Ответы
Ответ дал:
0
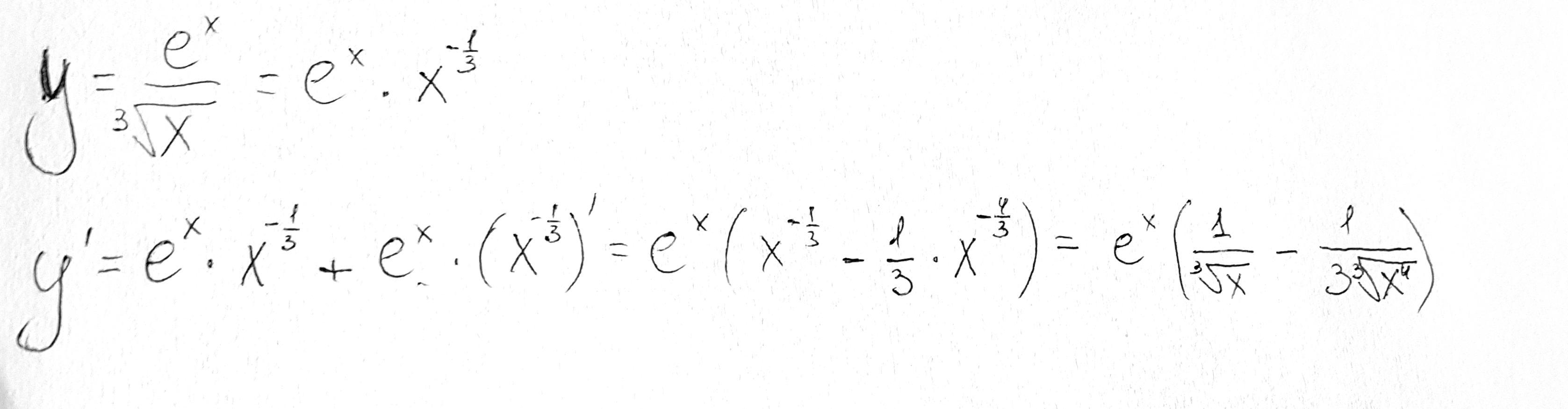
Ответ:
Решение на фото ниже
Приложения:

Вас заинтересует
3 года назад
3 года назад
8 лет назад
8 лет назад
9 лет назад