• Предмет: Математика
  • Автор: aminalana
  • Вопрос задан 8 лет назад

Мозг закипает!!! Девочки кто помнит 6класс!! Помогите решением с записью решения...
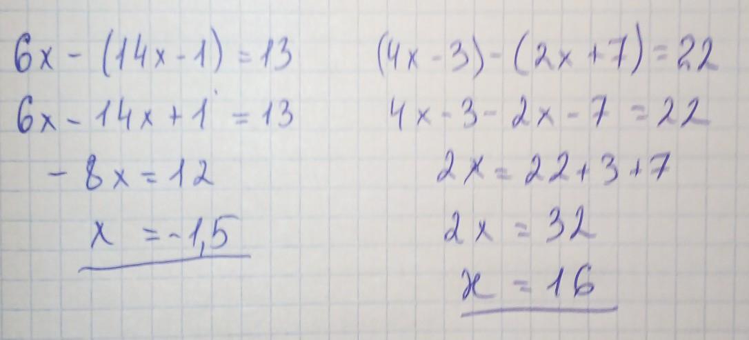
1) 6x-(14x-1)=13
2) (4x-3)-(2x+7)=22

Ответы

Ответ дал: 0725sasha
0

Ответ:

В приложении

Если мой ответ Вам помог

Отметьте его ЛУЧШИМ

Хорошего дня и весёлого настроения!

Приложения:
Вас заинтересует