• Предмет: Алгебра
  • Автор: liveandreev9837
  • Вопрос задан 8 лет назад

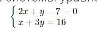
Является ли решением системы уравнений пара чисел (1;5) ?

Приложения:

Ответа на этот вопрос пока нет. Попробуйте найти его через форму поиска.

Вас заинтересует