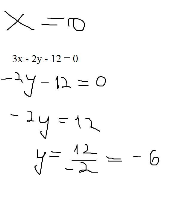
Відомо, що абсциса деякої точки прямої, заданої рівнянням 3х - 2у - 12 = 0, дорівнює. Знайди ординату цієї точки.
Відповідь:
Ордината цієї точки дорівнює:
Ответы
Ответ дал:
0
Ответ:
Объяснение:
ось і все
Приложения:

Вас заинтересует
2 года назад
3 года назад
3 года назад
8 лет назад
9 лет назад