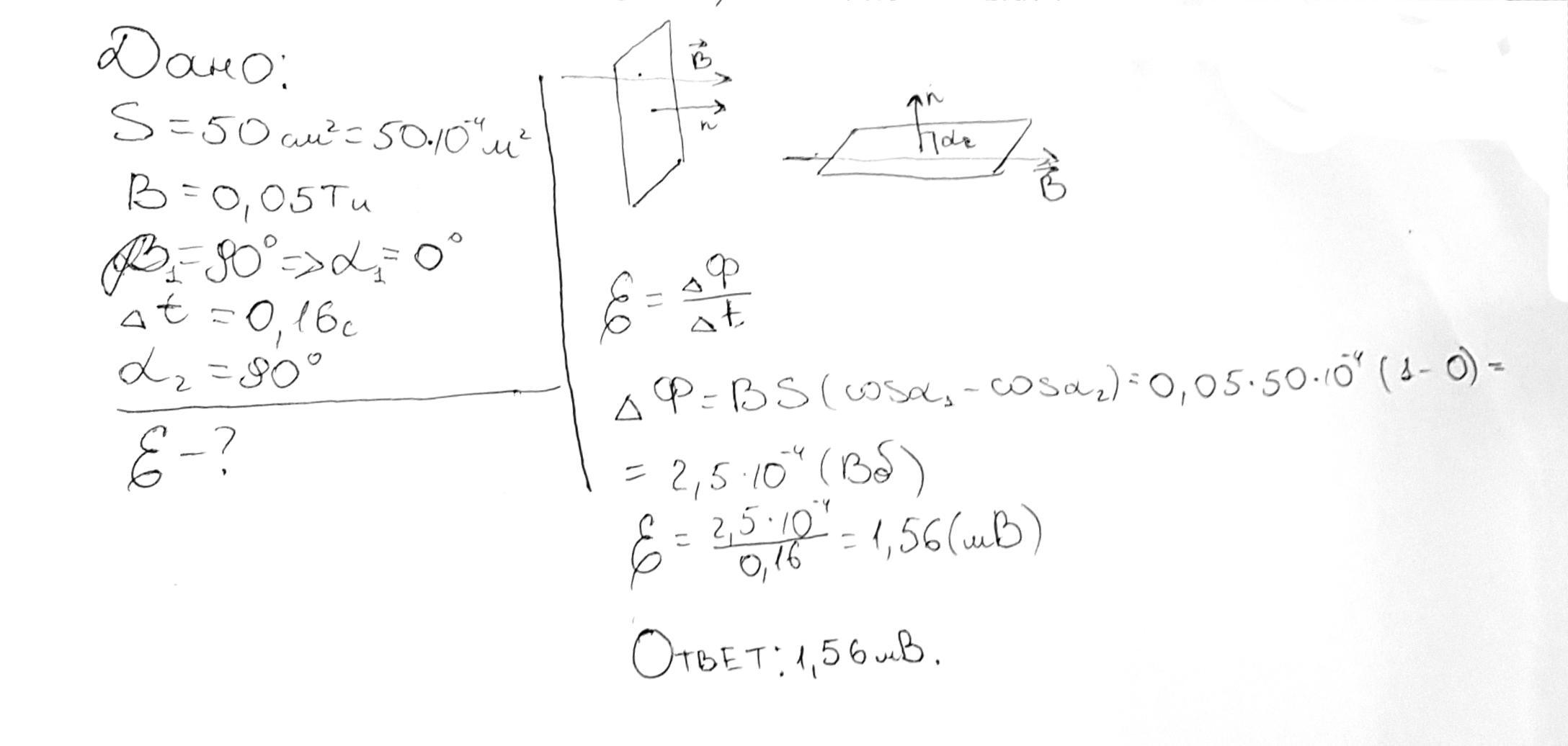
Прямоугольная рамка площадью 50 см2 в однородном магнитном поле индукцией 0,05 Тл расположена перпендикулярно силовым линиям поля. Под действием внешней силы рамка за 0,16 с делает четверть оборота вокруг оси, совпадающей с одной из сторон рамки. Определить среднее значение ЭДС индукции, возникающей в рамке.
Ответы
Ответ дал:
0
Ответ:
1.56 мВ
Объяснение:
См. на фото
Приложения:
Вас заинтересует
2 года назад
3 года назад
3 года назад
9 лет назад
9 лет назад
10 лет назад
10 лет назад