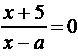
При каких значениях параметра a уравнение (фотка внизу) не будет иметь решений? ПЛЕЗЗЗЗЗЗЗЗЗЗ ПОМОГИТЕ ПОЖАЛУЙСТА!!!! ДАЮ ") БАЛЛОВ!!!!!!!!!!!
Приложения:

Ответы
Ответ дал:
0
Ответ:
Объяснение:
Уравнение имеет решение если числитель равен нулю, а знаменатель не равен
Х+5=0
х=-5
-5-а=0
А=-5
Ответ при а =-5
Вас заинтересует
2 года назад
2 года назад
3 года назад
3 года назад
8 лет назад
8 лет назад