• Предмет: Математика
  • Автор: white407
  • Вопрос задан 8 лет назад

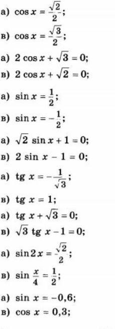
решение тригонометрических уровнений

в тетрадке​

Приложения:

Ответа на этот вопрос пока нет. Попробуйте найти его через форму поиска.

Вас заинтересует