• Предмет: Алгебра
  • Автор: Levitate01
  • Вопрос задан 8 лет назад

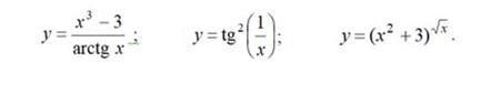
Найти производные данных функций.
Помогите пожалуйста!!

Приложения:

Ответа на этот вопрос пока нет. Попробуйте найти его через форму поиска.

Вас заинтересует