• Предмет: Алгебра
  • Автор: kristinashihova777
  • Вопрос задан 8 лет назад

решите, пж, срочно надо ​

Приложения:

Ответы

Ответ дал: sangers1959
0

Ответ:

Объяснение:

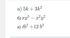
a)5k+3k^{2} =k*(5+3k)\b)xy^{3} -x^{2} y^{2} =xy*(y^{2} -xy)\c)4b^{7} +12b^{3} =4b^{3}*(b^{4}+3).

Вас заинтересует