Ответы
Ответ дал:
0
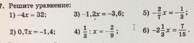
1) -4x=32
-x=8
x=-8
2) 0,7x=-1,4
x= -1,4:0,7
x= -2
3)-1,2x = -3,6
-x= -3,6:1,2
-x =-3
x=3
4) 1/3 : x = -2/9
x= -1/3 : -2,9
x= 3/2 (1, 1/2)
5) -2/7 x = -1/3
-x= -1,3 :2,7
- x = -7/6
x= 7/6 (1,1/6)
6) -2,1/3x = 7/15
-x= 7/15:7/3
-x=1/5
x=1/5
-x=8
x=-8
2) 0,7x=-1,4
x= -1,4:0,7
x= -2
3)-1,2x = -3,6
-x= -3,6:1,2
-x =-3
x=3
4) 1/3 : x = -2/9
x= -1/3 : -2,9
x= 3/2 (1, 1/2)
5) -2/7 x = -1/3
-x= -1,3 :2,7
- x = -7/6
x= 7/6 (1,1/6)
6) -2,1/3x = 7/15
-x= 7/15:7/3
-x=1/5
x=1/5
Вас заинтересует
2 года назад
3 года назад
9 лет назад
9 лет назад
10 лет назад