• Предмет: Алгебра
  • Автор: vica258
  • Вопрос задан 8 лет назад

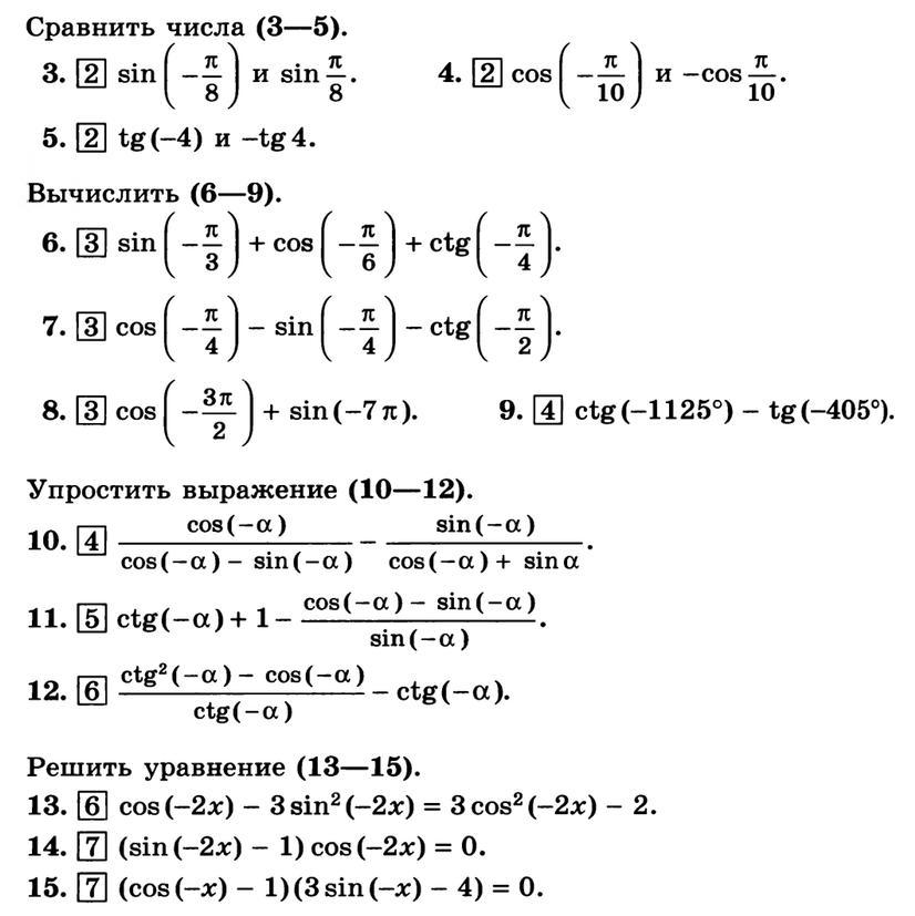
Помогите с 9, 12 и 13 пожалуйста

Приложения:

Ответа на этот вопрос пока нет. Попробуйте найти его через форму поиска.

Вас заинтересует