• Предмет: Математика
  • Автор: CuEfaaaa
  • Вопрос задан 8 лет назад

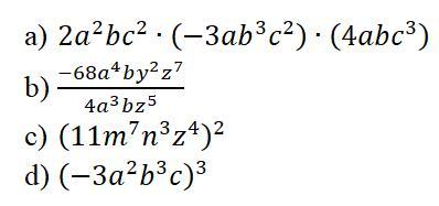
Выполнить действия. *

Приложения:

Ответа на этот вопрос пока нет. Попробуйте найти его через форму поиска.

Вас заинтересует