• Предмет: Алгебра
  • Автор: milanakraeva153
  • Вопрос задан 8 лет назад

ПОМОГТИЕ СРОЧНО!!!
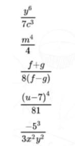
является Ли выражения алгебраической дробью​

Приложения:

Ответа на этот вопрос пока нет. Попробуйте найти его через форму поиска.

Вас заинтересует