Ответы
Ответ дал:
0
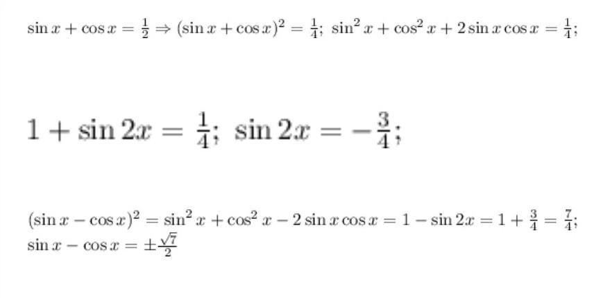
1+ sin 2x=1/4; sin 2x=-3/4
Приложения:

Вас заинтересует
2 года назад
2 года назад
3 года назад
3 года назад
8 лет назад