• Предмет: Математика
  • Автор: proffme
  • Вопрос задан 8 лет назад

даю 30 баллов!!!!!!!!

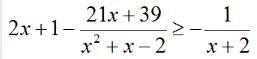
Приложения:

Ответа на этот вопрос пока нет. Попробуйте найти его через форму поиска.

Вас заинтересует