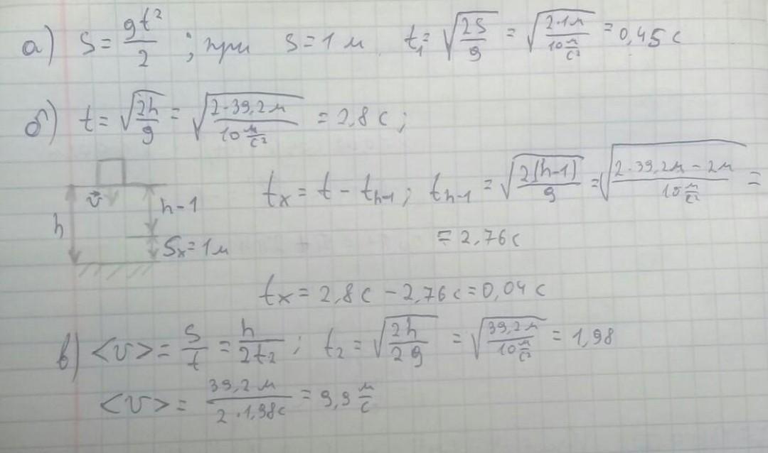
тіло вільно падає зі стану спокою з висоти 39,2 м.З а який час тіло пройде :а) перший метр свого шляху;б)останній метр свого шляху?Чому дорівнює середня швидкість на другій половині шляху?
Ответы
Ответ дал:
0
Объяснение:
вот вам ответик на фото
Приложения:

Вас заинтересует
2 года назад
3 года назад
3 года назад
8 лет назад
9 лет назад