• Предмет: Геометрия
  • Автор: ananam885
  • Вопрос задан 8 лет назад

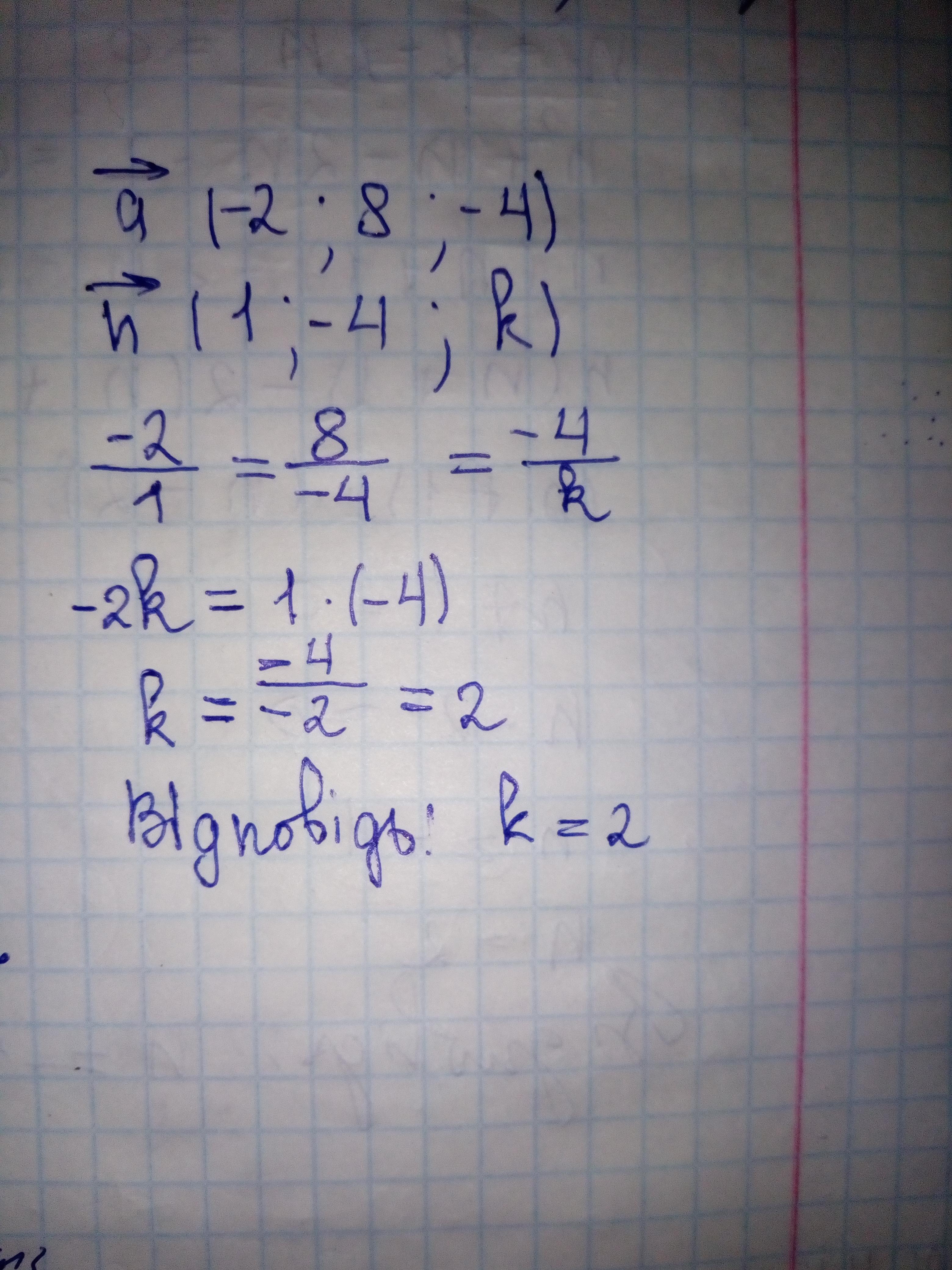
Дано вектори a ⃗ (-2; 8; -4) і n ⃗ (1; -4; k). При якому значенні k вектори a ⃗ і n ⃗ колінеарні?​

Ответы

Ответ дал: Sun202
0

Ответ:

Объяснение: Готово

Приложения:
Вас заинтересует