• Предмет: Алгебра
  • Автор: fild1467
  • Вопрос задан 8 лет назад

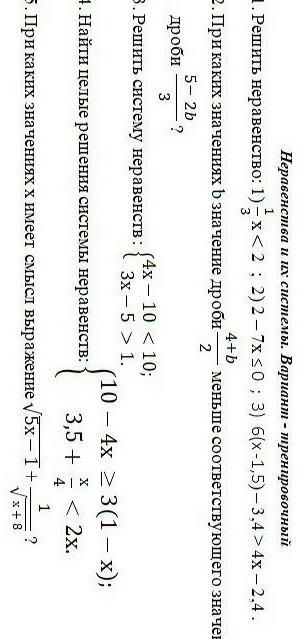
Неравенства и их системы. решите 4 задания ​

Приложения:

Ответа на этот вопрос пока нет. Попробуйте найти его через форму поиска.

Вас заинтересует