• Предмет: Математика
  • Автор: DidokUA
  • Вопрос задан 8 лет назад

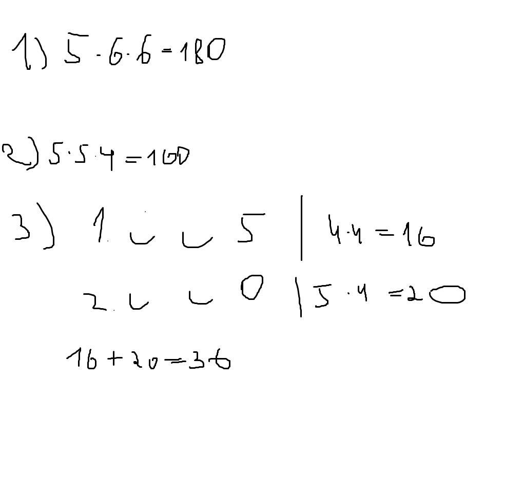
скільки можна скласти із цифр 2,0,1,5,3,4.
1)різних трицифрових чисел. 2)різних трицифрових чисел якщо цифри в них не повторюються. 3)різних трицифрових чисел що діляться на 5?
Комбінаторика((​

Ответы

Ответ дал: matematikL
0

Ответ:

Пошаговое объяснение:

вот и все

Приложения:
Вас заинтересует