• Предмет: Математика
  • Автор: Vanveg
  • Вопрос задан 8 лет назад

Помогите умоляю.
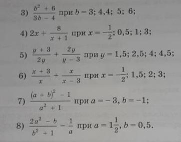
Найдите значение выражения:

Приложения:

Ответа на этот вопрос пока нет. Попробуйте найти его через форму поиска.

Вас заинтересует