СРОЧНО ПЖ!!!!!!!!! 40 БАЛЛОВ ДАЮ
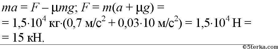
Автобус, маса якого дорівнює 15 тон, рушає з місця з прискоренням
0,7 м/c2. Визначити силу тяги, якщо коефіцієнт тертя дорівнює 0,03.
---------------------------------------------------------------------------------------------------------------------
Автобус, масса которого равна 15 тонн, трогается с места с ускорением
0,7 м / c2. Определить силу тяги, если коэффициент трения равен 0,03.
Ответы
Ответ дал:
0
Ответ:
Объяснение:
https://ru-static.z-dn.net/files/d0b/8f60a0a2c62f3bbd5e43d131d2b0b4f6.jpg
Приложения:

Вас заинтересует
2 года назад
3 года назад
8 лет назад
9 лет назад