• Предмет: Математика
  • Автор: 1prost0
  • Вопрос задан 8 лет назад

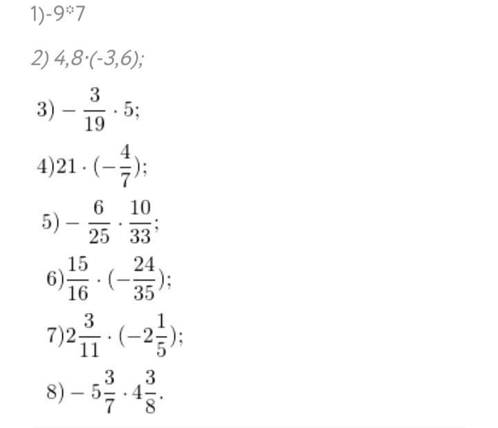
Help me pleaseeee ಥ⌣ಥ

Приложения:

Ответа на этот вопрос пока нет. Попробуйте найти его через форму поиска.

Вас заинтересует