• Предмет: Алгебра
  • Автор: МарияМаковийчук
  • Вопрос задан 8 лет назад

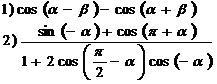
Помогите решить алгебру

Приложения:

Ответы

Ответ дал: kristinchik69
0

Ответ:

1) cos(a-b)-cos(a+b)= -2sin(a)sin(-b)=-2sin(a)*(-sin(b))=2sin(a)sin(b)

2)=frac{-sin(a)-cos(a)}{1+2sin(a)cos(a)}=frac{-sin(a)-cos(a)}{1+sin(2a)}= -frac{sin(a)+cos(a)}{1+sin(2a)}

Объяснение:

Вас заинтересует