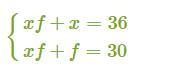
Реши систему уравнений, используя способ сложения.
(Сначала записывай наименьшие значения.)
Приложения:

Ответа на этот вопрос пока нет. Попробуйте найти его через форму поиска.
Вас заинтересует
2 года назад
3 года назад
3 года назад
8 лет назад
9 лет назад