Функция распределения вероятностей случайной величины
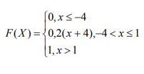
Случайная величина Х задана функцией распределения
F(x)=0,x _< -4
F(x)=0,2(х+4),-4 < x _< 1
F(x)=1,x > 1
_< - больше или равно
Найти вероятность того, что в результате испытания Х примет значение,
принадлежащее интервалу (0;1).
Что за запятые?
Приложения:

Ответа на этот вопрос пока нет. Попробуйте найти его через форму поиска.
Вас заинтересует
2 года назад
2 года назад
3 года назад
3 года назад
9 лет назад