• Предмет: Алгебра
  • Автор: 1234564330
  • Вопрос задан 8 лет назад

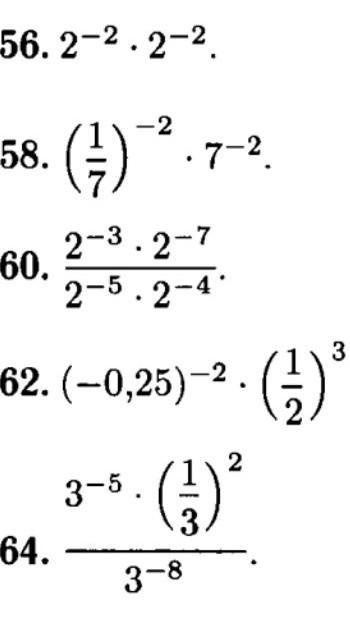
решите примеры,прошу дам хоть 50 баллов​

Приложения:

Ответы

Ответ дал: sunnyrouse03
0

Ответ:

1.

-2^2×-2^2=2^2×2^2=2^4=16

Вас заинтересует