• Предмет: Математика
  • Автор: elizavetanovikova855
  • Вопрос задан 8 лет назад

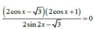
Решите пожалуйста, срочно!!!

Приложения:

Ответа на этот вопрос пока нет. Попробуйте найти его через форму поиска.

Вас заинтересует