• Предмет: Алгебра
  • Автор: polidasa552
  • Вопрос задан 8 лет назад

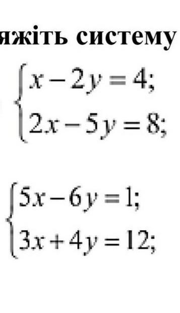
розв'яжіть систему рівнянь способом підстановки.​

Приложения:

Ответа на этот вопрос пока нет. Попробуйте найти его через форму поиска.

Вас заинтересует