• Предмет: Алгебра
  • Автор: maryanasvirska253
  • Вопрос задан 8 лет назад

будь ласка розв'яжіть​

Приложения:

Ответы

Ответ дал: marynka9555
0

Объяснение:

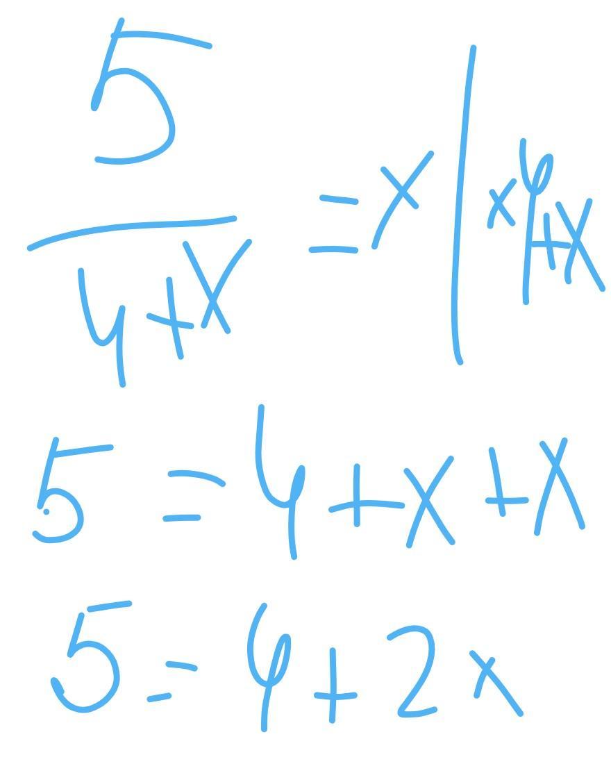
5=4+2x

-2x=4-5

-2x=1 (домножить на -1)

2x=-1

x=-1/2

Приложения:
Вас заинтересует