• Предмет: Алгебра
  • Автор: lubovkorosteleva2005
  • Вопрос задан 8 лет назад

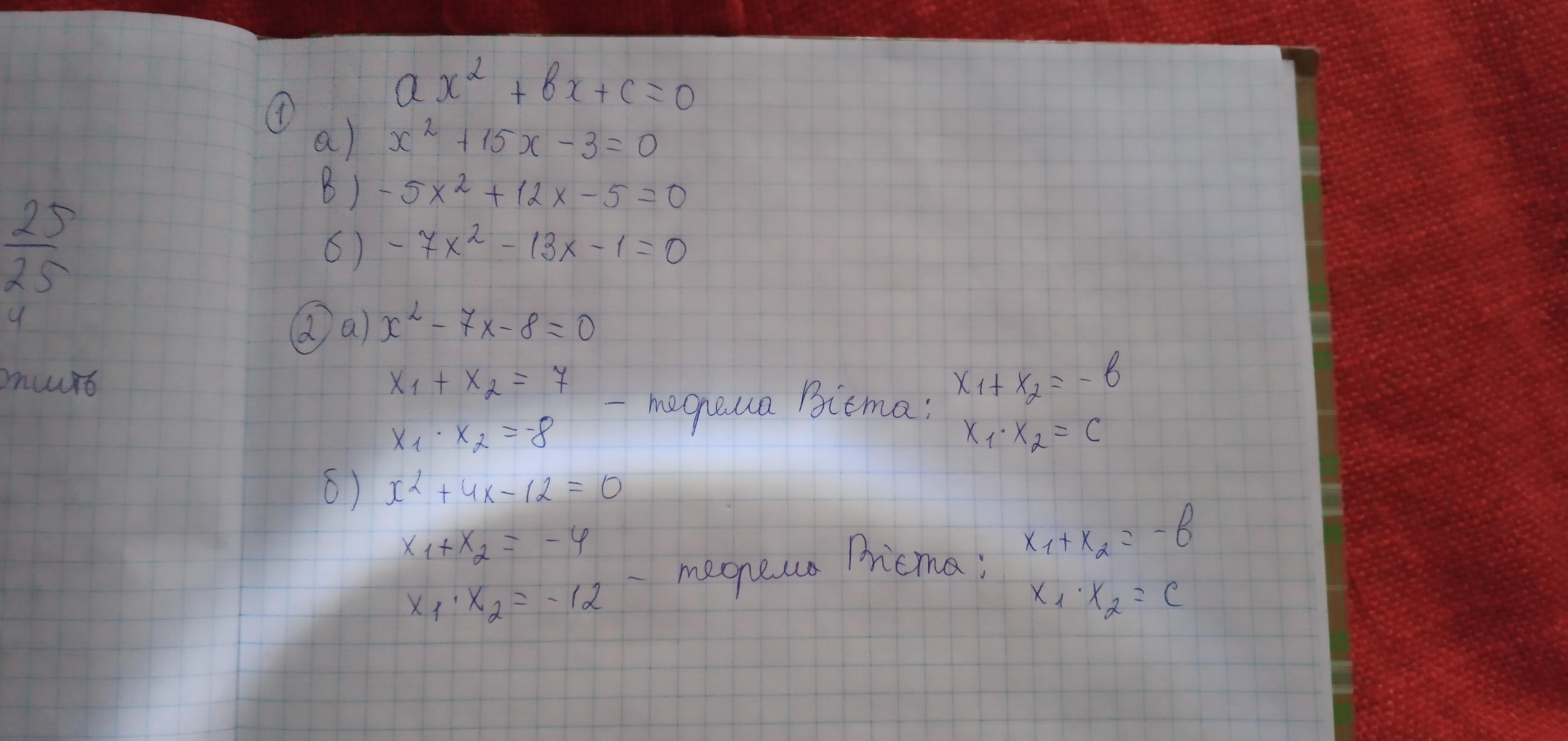
1.Складіть квадратне рівняння в якому:
а)а=1,b=15,c=-3;
в)а=-5,b=12,C=-5
б)а=-7,b=-13,C=-1
2.Знайдіть суму і добуток коренів
рівняння:
а) х? – 7х – 8 = 0
б) х? + 4х – 12 = 0​

Ответы

Ответ дал: filuksistersp735lh
0

Ответ:

Я ж правильно зрозуміла ?=²

Объяснение:

Приложения:
Ответ дал: zlata1161
0

Ответ:

  1. a) x2+15x-3=0 ; в) -5x2+12b-5=0 ;б) -7x2-13x-1=0
  2. a) x1=-1 ; x2=8 => 8-1=7 ; 8*(-1)= -8 ;б) x1=-6 ; x2=2 => -6+2=-4 ; -6*2= -12

Объяснение:

В первом задании я имею ввиду x2- как "х" во второй степени

Приложения:
Вас заинтересует