• Предмет: Математика
  • Автор: Yulka252
  • Вопрос задан 8 лет назад

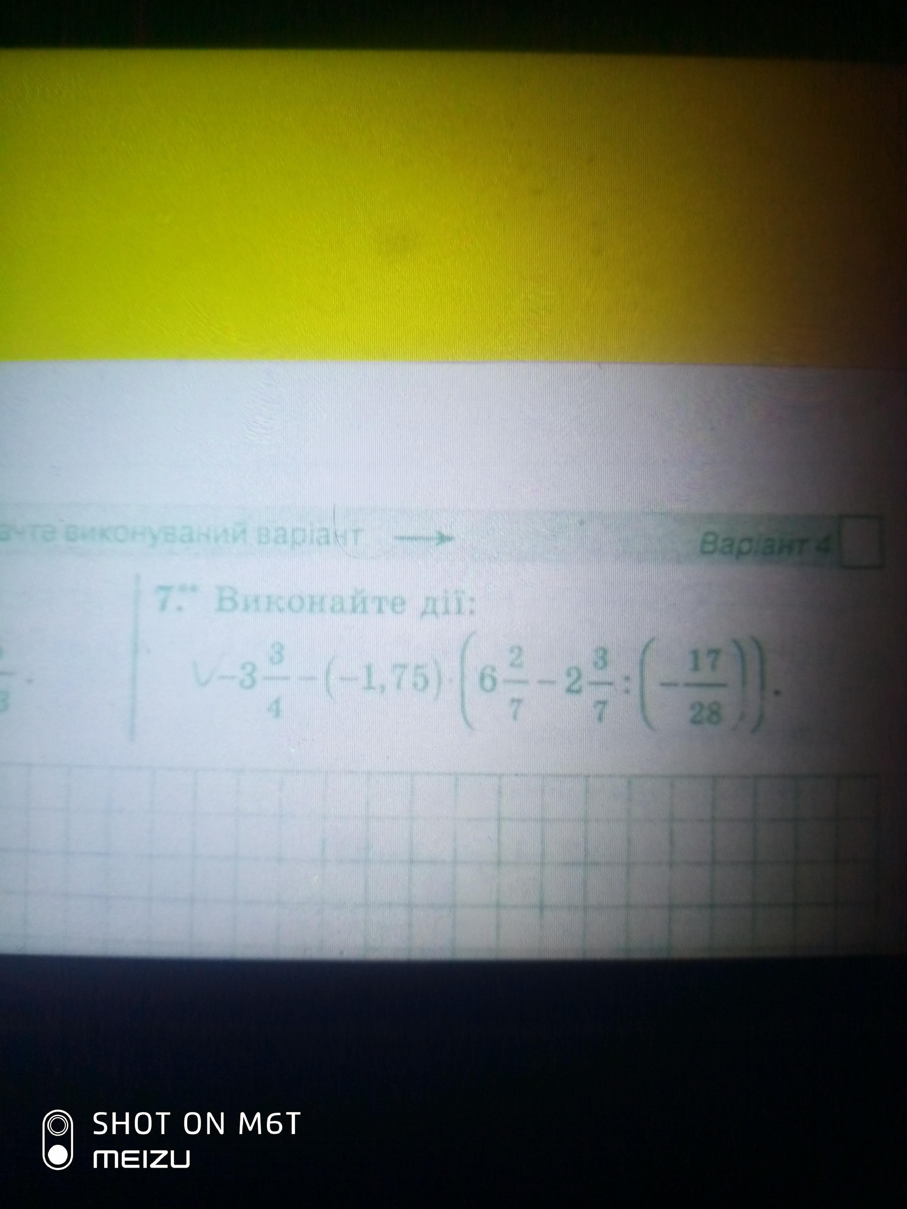
Допоможіть мені будь ласка!!!Дуже треба!!!!

Приложения:

Ответы

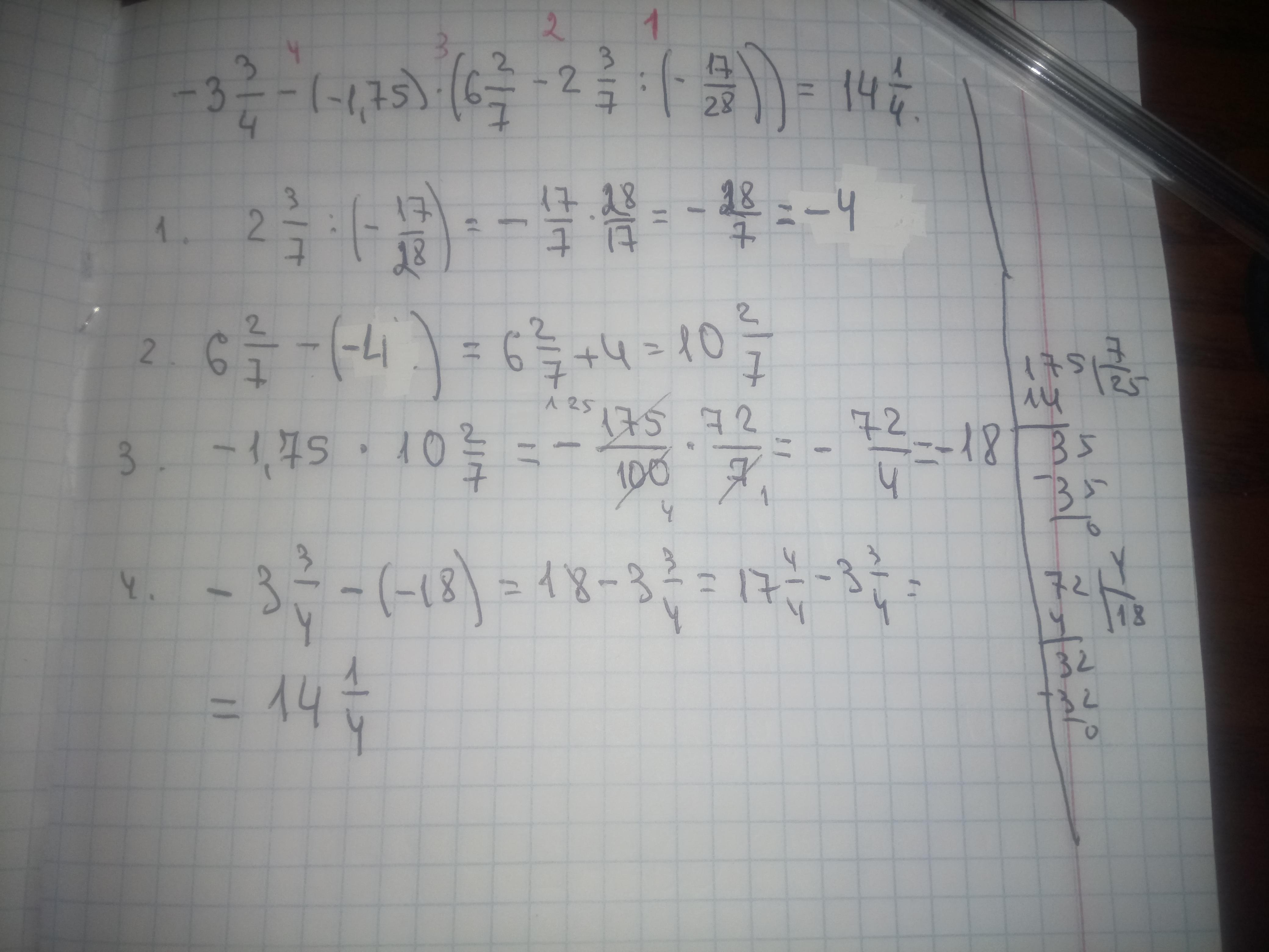
Ответ дал: valenivan
0

Відповідь: фото

Покрокове пояснення:

Приложения:
Ответ дал: Yulka252
0
Дякую тобі велике сонце!!!!!!!!!!!
Вас заинтересует