• Предмет: Геометрия
  • Автор: ferzelizade86
  • Вопрос задан 8 лет назад

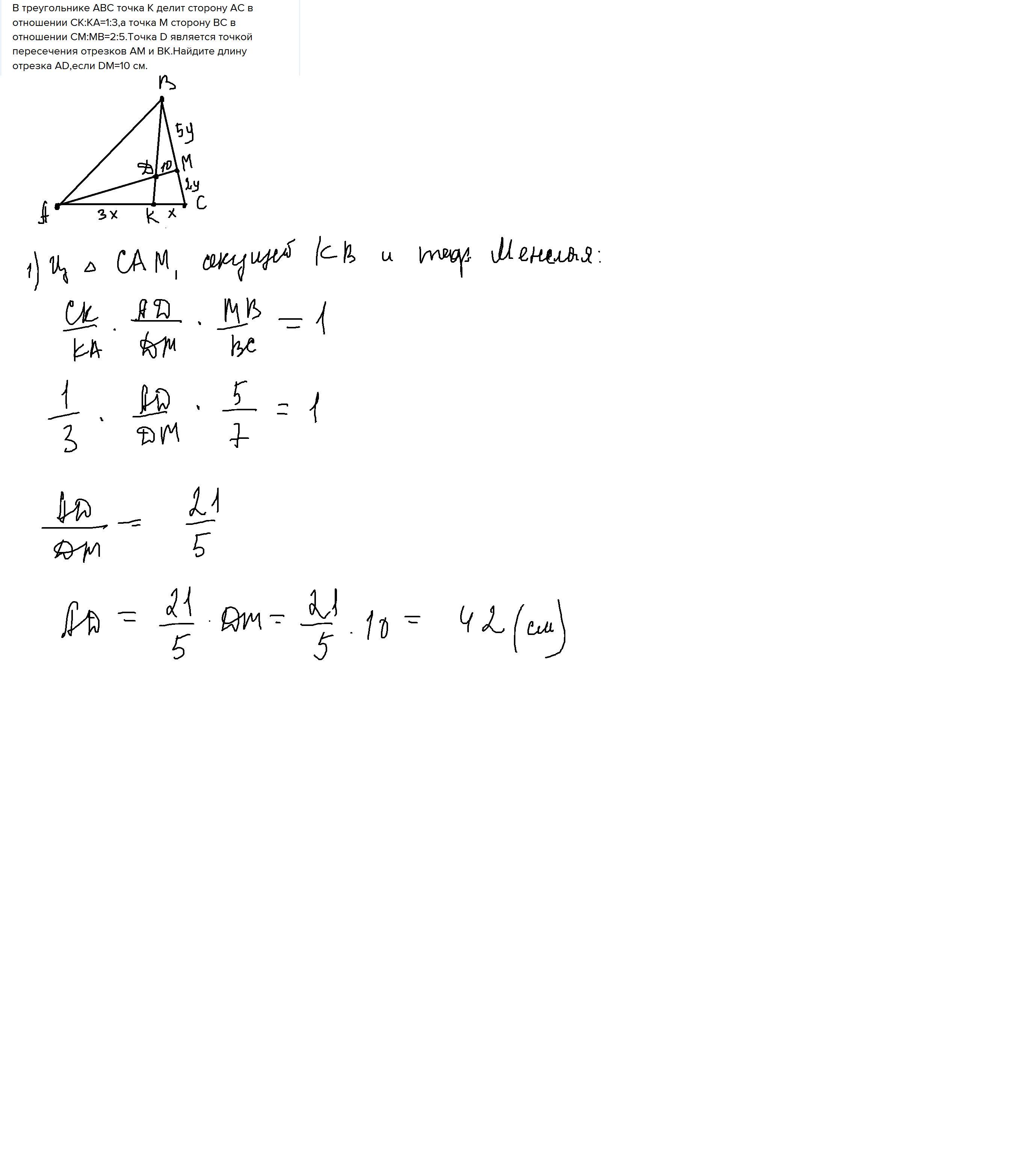
В треугольнике ABC точка K делит сторону AC в отношении CK:KA=1:3,а точка M сторону BC в отношении CM:MB=2:5.Точка D является точкой пересечения отрезков AM и BK.Найдите длину отрезка AD,если DM=10 см.

Ответы

Ответ дал: vikll
0

Ответ:

Объяснение:В треугольнике ABC точка K делит сторону AC в отношении CK:KA=1:3,а точка M сторону BC в отношении CM:MB=2:5.Точка D является точкой пересечения отрезков AM и

Приложения:
Вас заинтересует