• Предмет: Геометрия
  • Автор: kirapismenna
  • Вопрос задан 8 лет назад

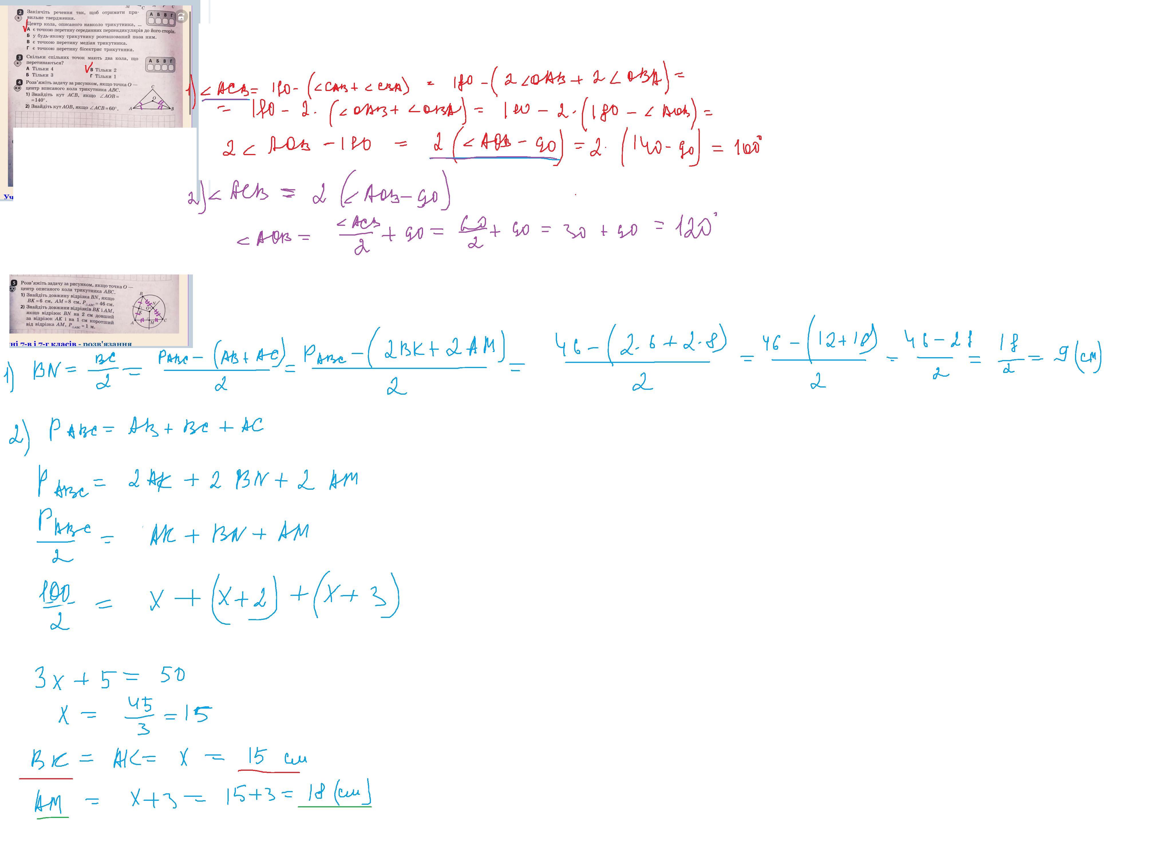
Помогите пожалуйста

Приложения:

Ответы

Ответ дал: vikll
0

Ответ:

Объяснение:

Помогите пожалуйста

Приложения:
Вас заинтересует