• Предмет: Математика
  • Автор: makskot69
  • Вопрос задан 8 лет назад

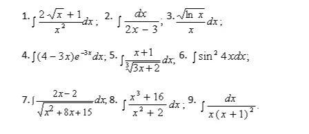
РЕШИТЕ ЛЮБЫЕ 3 ПРИМЕРА ПО ИНТЕГРАЛАМ. НУЖНО ПОЛОЕ РЕШЕНИЕ. ЗАМЕНА t

Приложения:

Ответа на этот вопрос пока нет. Попробуйте найти его через форму поиска.

Вас заинтересует