• Предмет: Математика
  • Автор: popovayulia17
  • Вопрос задан 8 лет назад

РЕШИТЕ, ПОЖАЛУЙТСА!30 баллов!
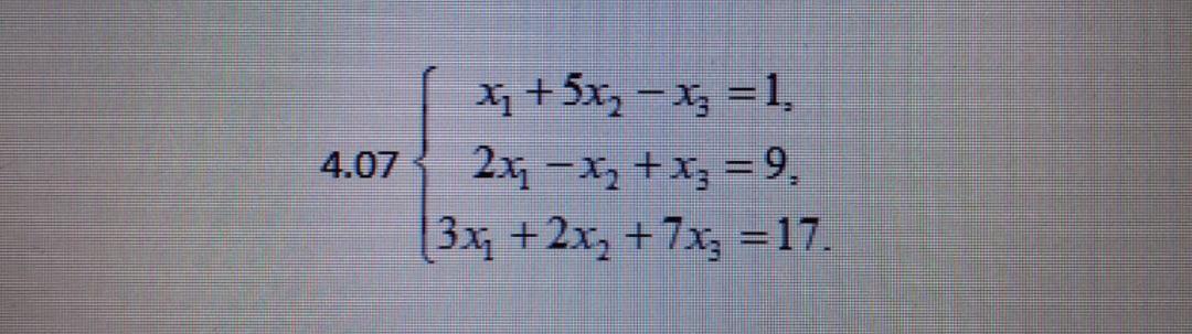
Решите систему уравнений:

Приложения:

Ответа на этот вопрос пока нет. Попробуйте найти его через форму поиска.

Вас заинтересует