• Предмет: Алгебра
  • Автор: FlaZIKKkk
  • Вопрос задан 8 лет назад

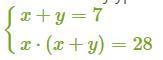
Помогите!Метод подстановки

Приложения:

Ответы

Ответ дал: koshka672
0

Ответ:

у=3

х=4

Объяснение:

у=7-х

х×(х+(7-х))=28

у=7-х

х×(х+7-х)=28

у=7-х

х²+7х-х²=28

у=7-х

7х=28

у=7-х

х=28/7

у=7-х

х=4

у=7-4

х=4

у=3

х=4

Вас заинтересует