• Предмет: Алгебра
  • Автор: Pesegovilia
  • Вопрос задан 8 лет назад

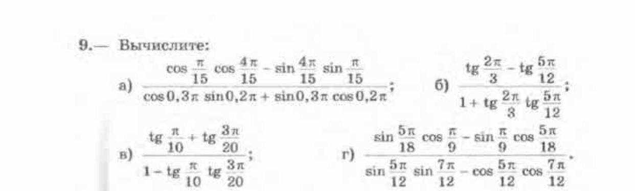
Помогите пожалуйста Алгебра 10-11 класс под Б) Только

Приложения:

Ответа на этот вопрос пока нет. Попробуйте найти его через форму поиска.

Вас заинтересует